Bayesian's Theorem

B가 고정되어있을때 A인 확률 = A가 고정되어있을때 B의 확률 * A확률 / B확률 = (B중 A인 확률)
예시)

Model Estimation

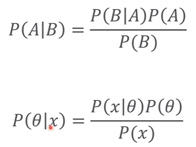
P(A|B) = P(θ|x)
A = Model의 파라미터 (예 : 가우시안 분포 - 평균, 표준편차, NN - Weight, Bias) = θ
B = sample(예 : 학습데이터. 이미지, 음성 등) = x
P(B|A) = P(x|θ) : Likelihood

파라미터가 주어졌을때, 그 때의 x의 확률.
모델이 주어진 상태에서, 그 때의 x의 확률.

P(x)

1차원 데이터에서의 x확률. 실제 샘플이 어떻게 분포되어있는지 설명하는 값.
P(θ)
예를들어 Normal Distribution에서의 θ는 표준편차와 평균이다.
2차원의 값이지만 평균만 생각해보자.
그러면 θ는 여러개의 평균 값이다.
즉 θ는 하나의 모델이고, P(θ)는 어떠한 한 평균을 가지고 있을 확률을 얘기하는 것이다.
예를들어 몸무게의 평균이 50kg 인 모델이고, 이것이 여러가지 모델 중 하나의 확률이 P(θ) 다.

θ : 모델. 모델의 파라미터.
x축의 한 지점이 정해지면 주어진 모델에 따른 P of x ( p(x|θ) ) 가 결정된다.
정리하자면, P(세타) 는 주어진 여러개의 모델 중 특정 파라미터 값을 가질 확률이다.
모델이 여러개 -> 모두 같은 확률을 갖는 것이 아니다.가중치를 통해 중요한 모델을 더 많이 반영한다)
-> 특정 파라미터 값을 갖는 모델이 더 유리하다.
또한 주어지는 것이 아닌 관측자가 예상하는 것이다.
Model과 P(x|θ)

P(x|θ) : 하나의 점이 아닌 연속된 값임. 여러가지 모델이 연속적으로 존재. 한 지점이자 x축의 x값.
y값은 model1, model2, model3, model4의 각각의 중요도의 확률이다.
Bayesian Estimation
- MLE : 데이터가 주어져 있고, 그 데이터를 가장 잘 설명하는 모델.
- BE(MPE) : 기본적으로 예측한 결과값&실제 관측한 결과값의 연관관계를 계산한 것
'머신러닝' 카테고리의 다른 글
| Long Short - Term Memory (0) | 2021.06.02 |
|---|---|
| Maximum A Posteriori Estimation (0) | 2021.05.27 |
| Maximum likelihood Estimation 2 (0) | 2021.05.16 |
| Maximum likelihood Estimation 1 (0) | 2021.05.15 |
| 머신러닝이란? (0) | 2021.05.14 |
댓글